Volume 1, Issue 2 — Year 2024

ISSN (Online): 3115-8129 Biannually

Assessing Employee Satisfaction in Civil Project Success Using AHP: A Case study

Article Type: Case Study
Pages: e100013
Published/Copyright: December 2024

Artificial Intelligence for Predicting the Concrete’s UCS based on Experimental Data

Article Type: Research
Pages: e100014
Published/Copyright: December 2024

Application of Nanoclay in Reducing Permeability of Fine-grained Soil: An Experimental Study

Article Type: Research
Pages: e100015
Published/Copyright: December 2024

Evaluation of High-Risk Dynamic Zones Caused by Kinematic Brittle Deformation in Northeastern Kerman

Article Type: Research
Pages: e100016
Published/Copyright: December 2024

Arsenic Concentration in Groundwater Resources of the Noug Plain (Iran) and Evaluation of Influencing Factors

Article Type: Research
Pages: e100017
Published/Copyright: December 2024

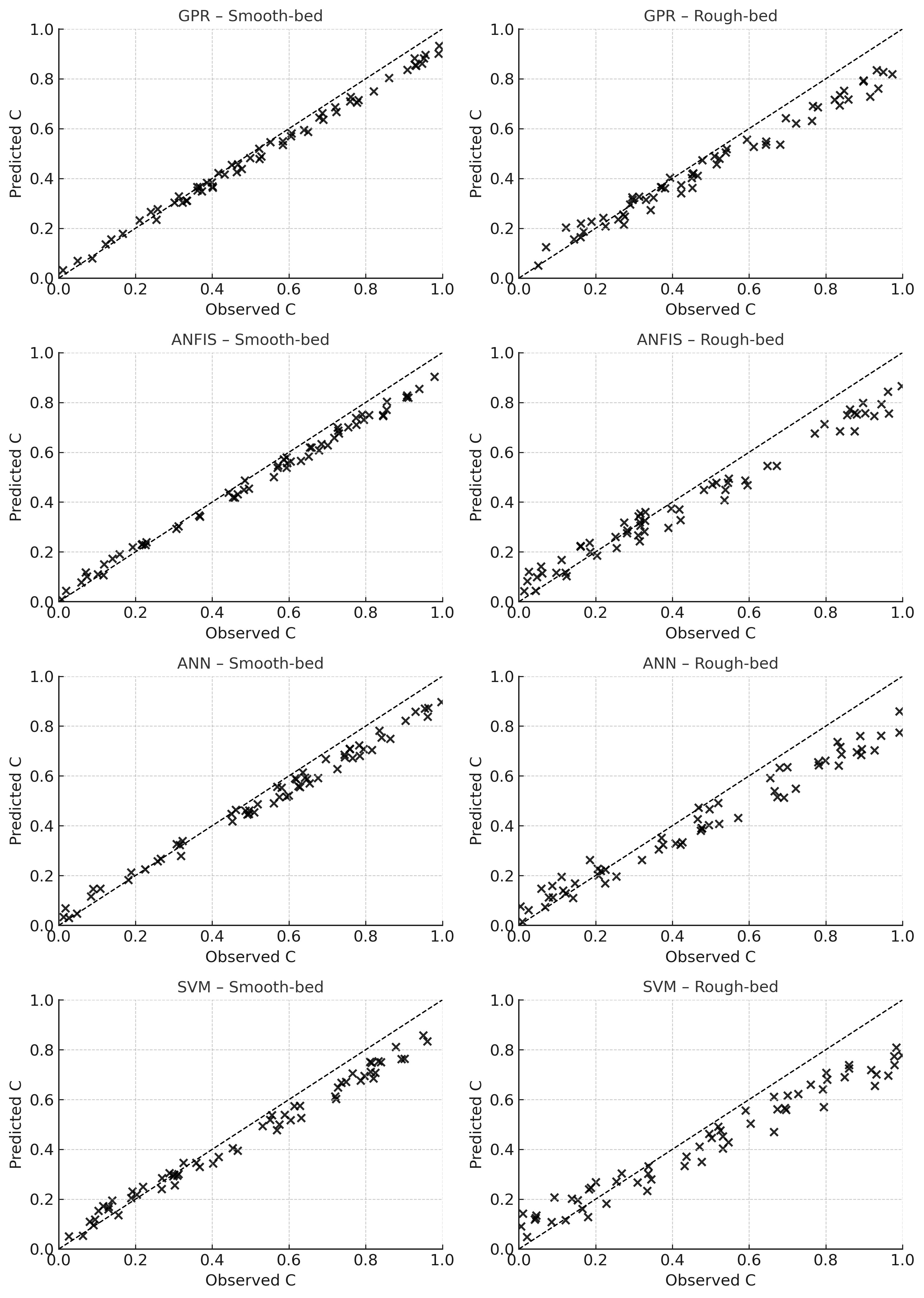
Flow-Sediment Dynamics Analysis in Circular Channels using Gaussian and ANFIS based Systems

Article Type: Research
Pages: e100018
Published/Copyright: December 2024

Technical Analysis of Swelling Soils and Engineering Control Solutions

Article Type: Research
Pages: e100019
Published/Copyright: December 2024

Assessing Rock Hardness of Isfahan Sandstone using the Cerchar Abrasivity Index (CAI)

Article Type: Research
Pages: e100020
Published/Copyright: December 2024

Rock Slope Stability Analysis based on New Qslope method for Semirom Region in Iran

Article Type: Case Study
Pages: e100021
Published/Copyright: December 2024

Landslide susceptibility analysis for Azershahr region using SVM and logistic regression methods

Article Type: Research
Pages: e100022
Published/Copyright: December 2024

Assessment of Environmental Impacts for Highways Using Sustainable Development Indicators: Review

Article Type: Review
Pages: e100023
Published/Copyright: December 2024

Using Support Vector Machine to Predict the Uniaxial Compressive Strength for Lightweight Concrete

Article Type: Research
Pages: e100024
Published/Copyright: December 2024